柯西积分公式及几个重要推论
柯西积分公式及几个重要推论
在复级数定理的证明中经常用到柯西积分公式,这个公式是由柯西积分定理推导而来,现在再说说柯西积分公式的证明及其重要推论。

在我前面的文章《如何证明复变函数论中的柯西积分定理》中给出过柯西积分定理:如果函数在单连通区域内解析,则函数沿区域内任一条周线的积分为0。柯西积分定理有推论,对应多连通区域的情况。于是


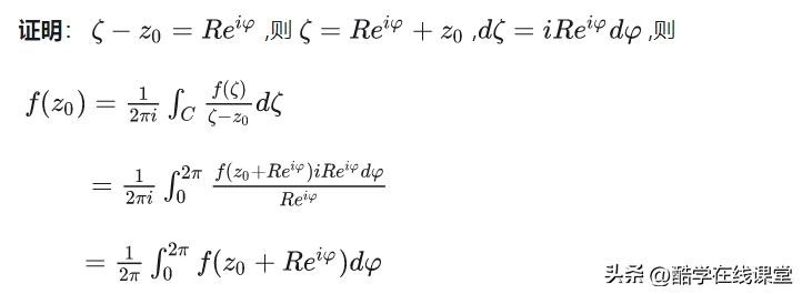
下面介绍平均值定理,在前面的《如何理解复变函数论中的唯一性定理和最大模原理?》文章里证明最大模原理就用到了平均值定理。


平均值定理表明,在圆内解析的函数圆心的值等于圆周值的平均值。下面的定理表明解析函数一个优越的性质:解析函数的无穷可微性。



解析函数的无穷可微性是解析函数的独特性质,这是实函数所不具备的,所以解析函数上的泰勒定理其逆定理也成立。