高考数学压轴题能不能使用洛必达法则,你怎么看?
高考数学压轴题能不能使用洛必达法则,你怎么看?

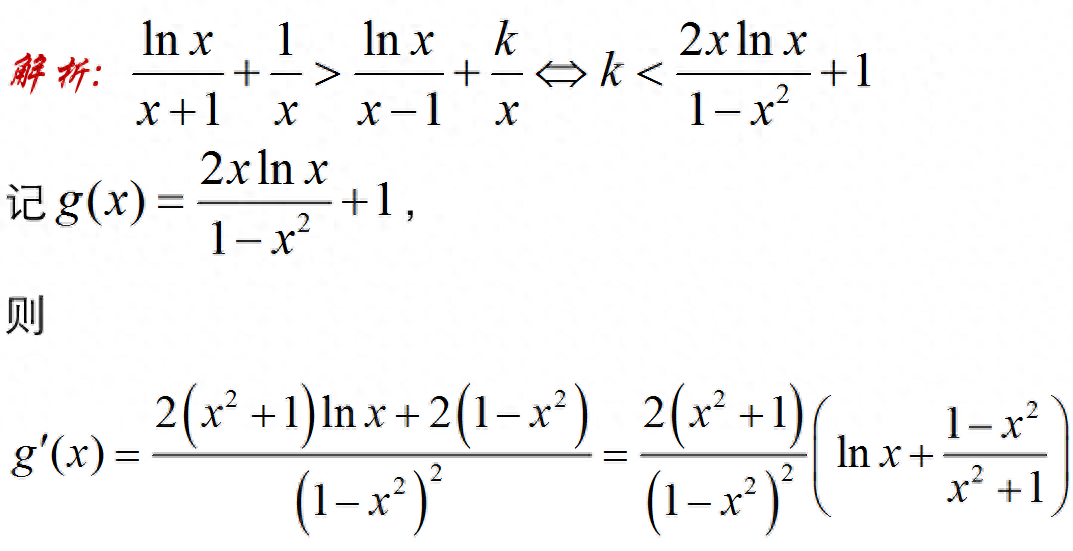
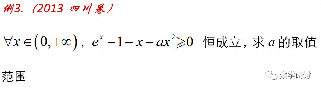
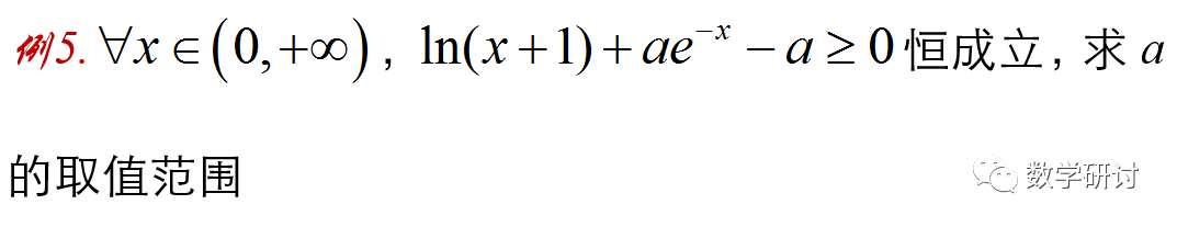
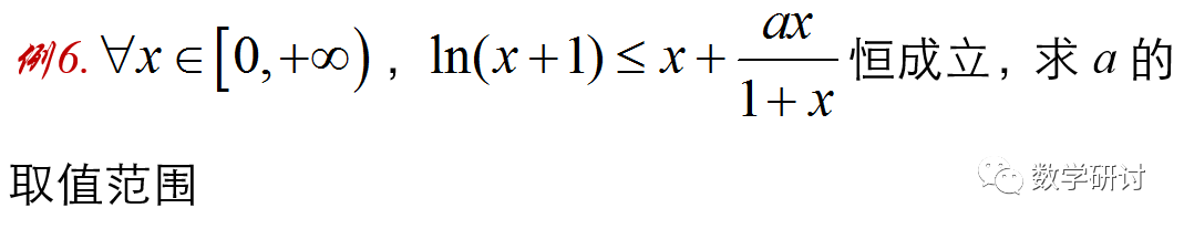
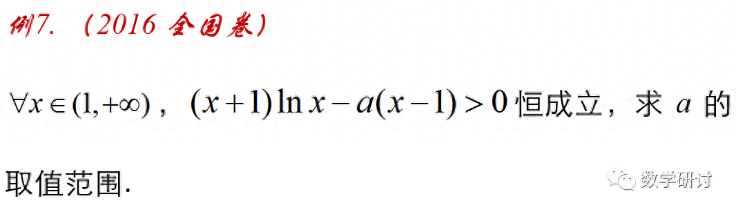
有太多的高三同学关注洛必达法则是什么?从阅卷经验来看,不是特别提倡用大学的知识来解答高中题,因为很多同学不能在解题时候对其完整的阐述,今天重点介绍如何利用洛必达法则处理函数导数相关的恒成立问题.
声明两点
1.所有用洛必达法则能求解的问题都可以用分类讨论的方法处理
2.用洛必达法则求解解答题是否扣分,在高考阅卷中划定不清,没有定论。
追求满分和高分的同学慎用

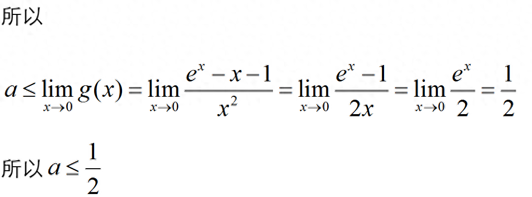
洛必达法则是求极限的工具,是在一定条件下通过对分子,分母分别求导再求极限,来确式子极限的方法。详细的洛必达法则应用是大学数学分析中才介绍,这里用高中生最能看懂的方式说明:











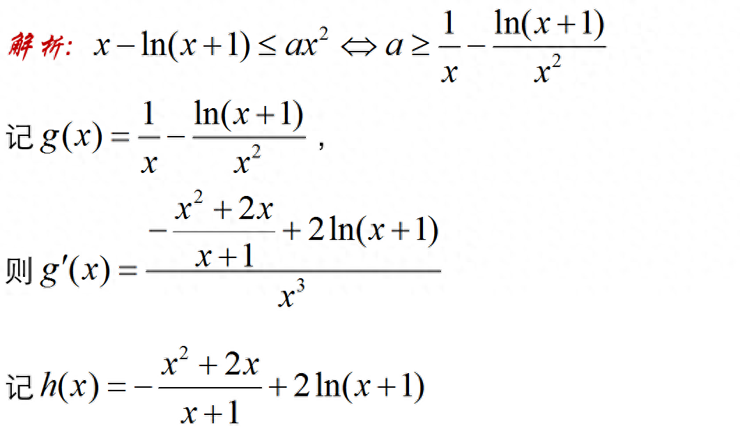
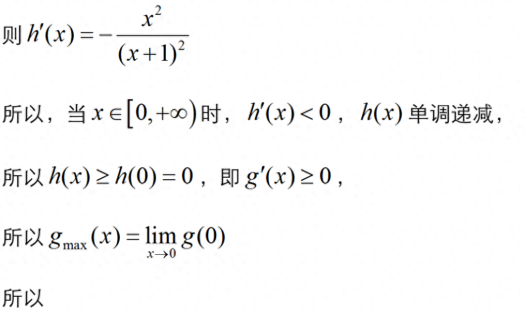
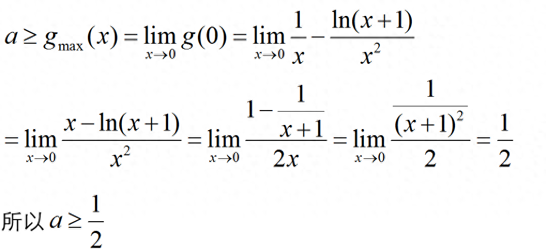
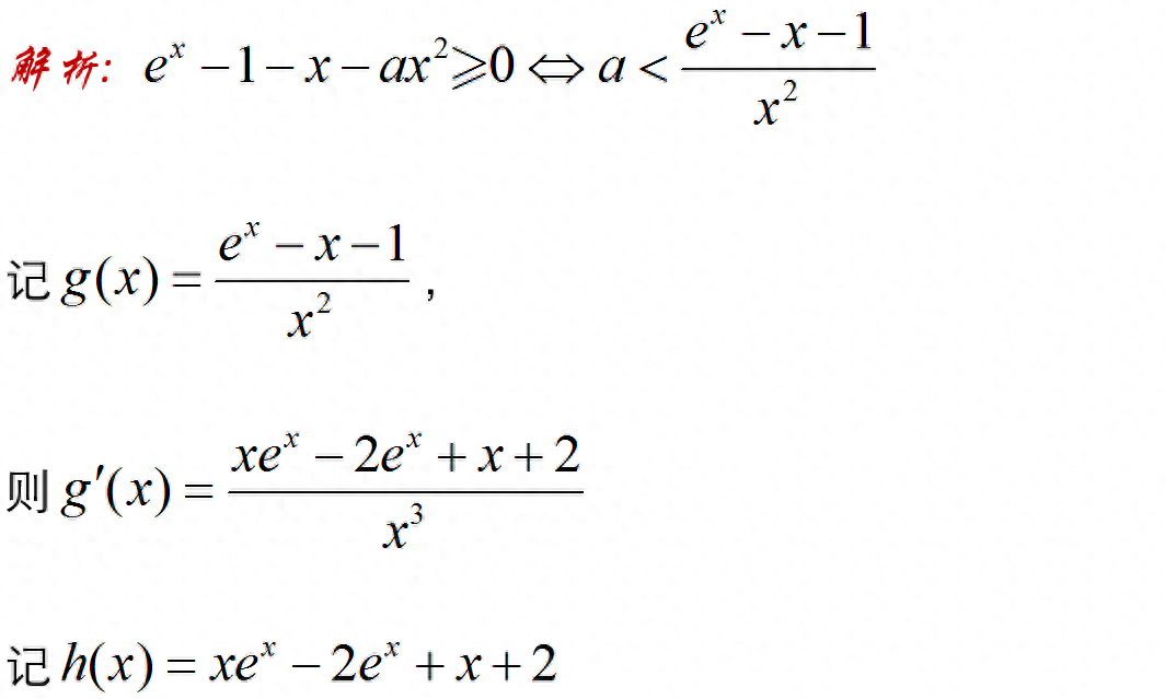
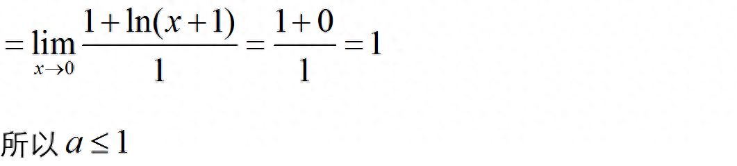
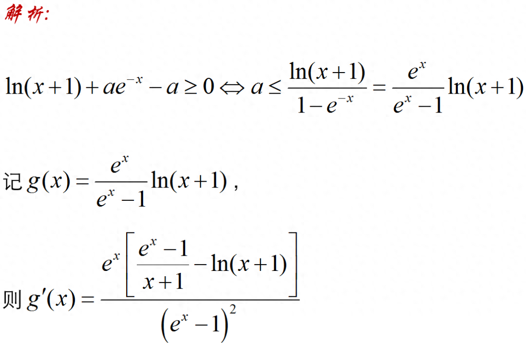
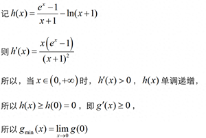
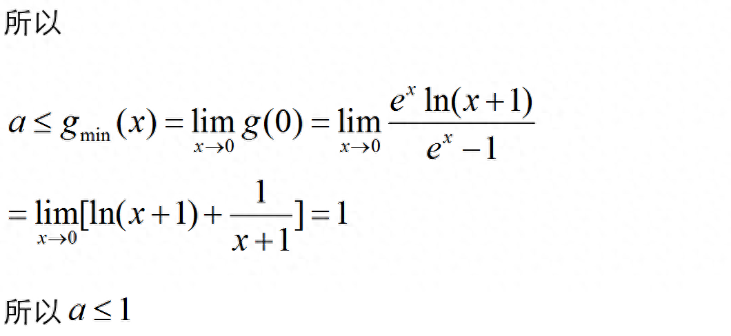
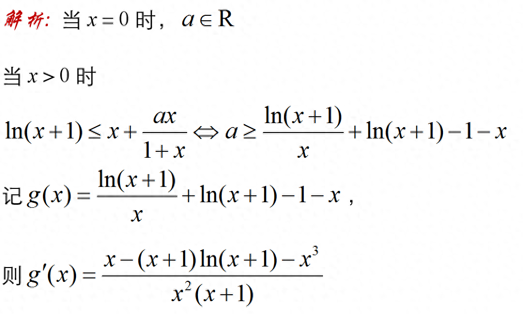
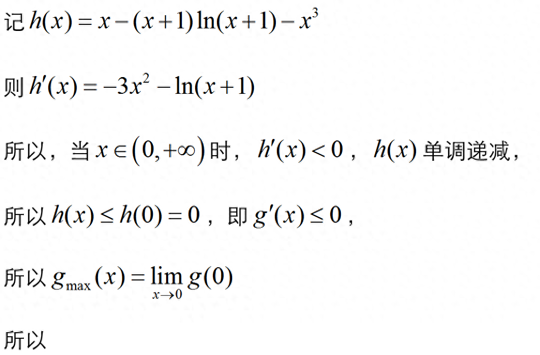
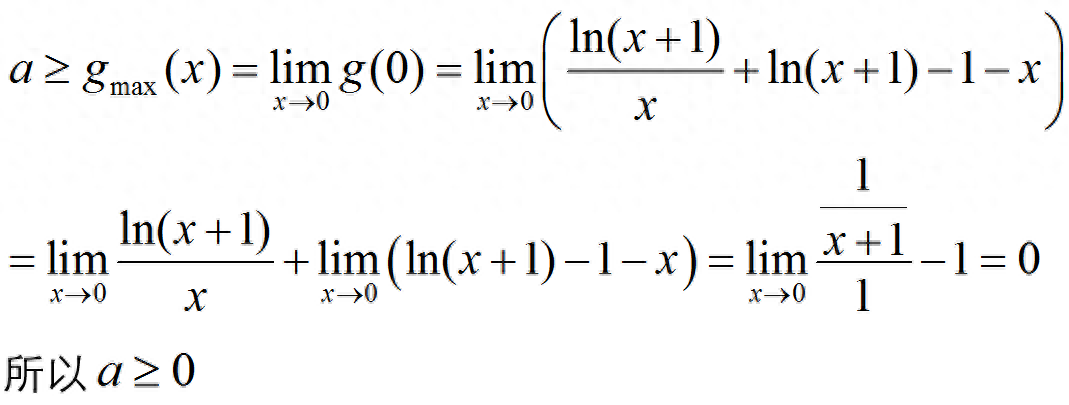
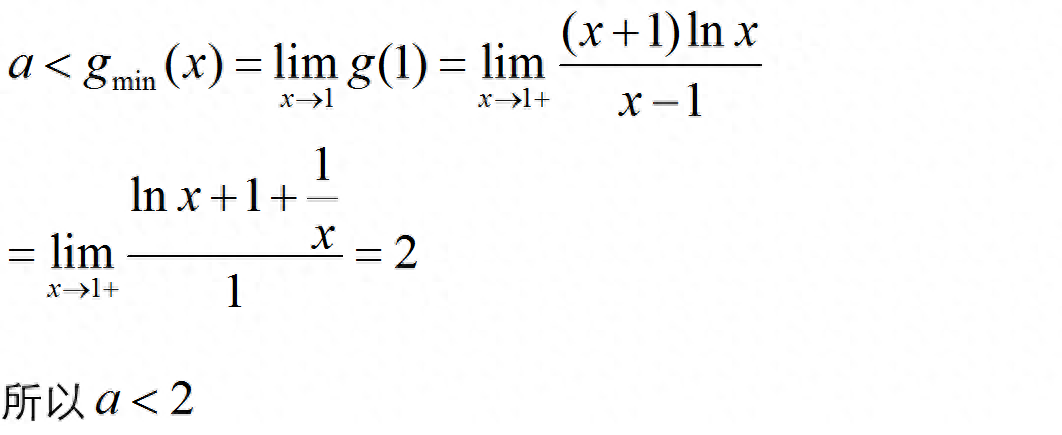
本题在求分离参数后函数的极限时发现,h(x)是“∞-∞”型.此时可利用通分转化为0/0型分式函数.



























现在高三基本上很少涉及这个话题,所以你的观点是什么呢?