自然常数e是怎么计算出来的?
自然常数e是怎么计算出来的?
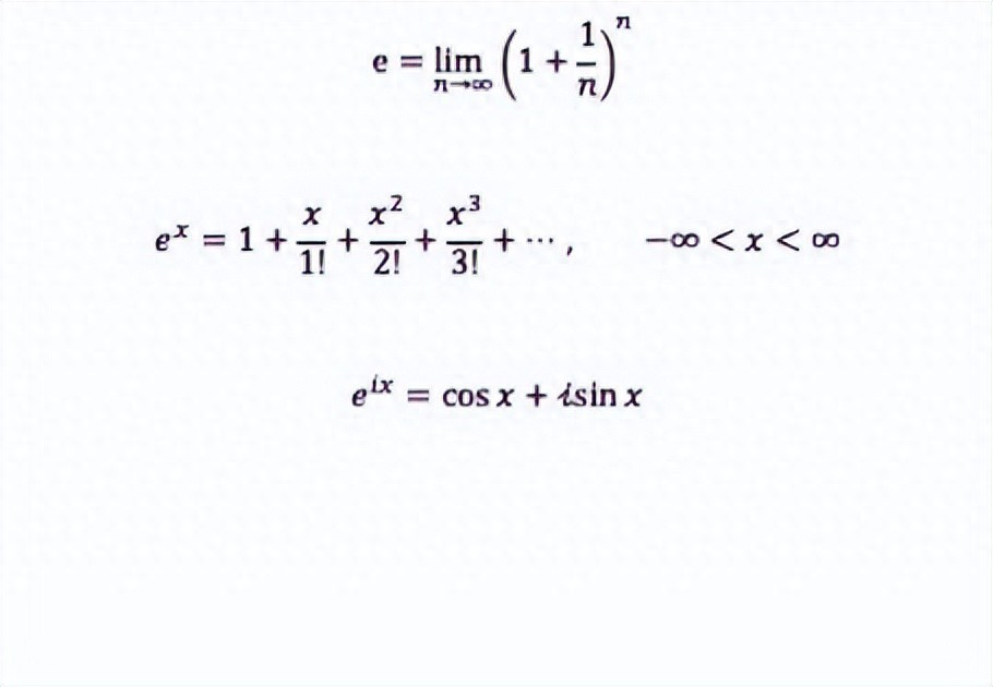
很多人都知道与e相关的三个公式,它们分别是:

先看第一个公式,这是关于e是怎么来的。
有人说e是从银行利率计算出来的。
有一个叫张三的人,去到银行存款。假设张三只有1元钱,银行的年化利率为1,就是说张三在2023年1月1号存款1元,到2024年1月1日取出来,银行给他2元,1元本金1元利息。
张三是个聪明人,他想我在2023年7月1日取出了然后当天又存上会比直接存1年要多吧。那会是多少呢?7月1日取出来连本带息是1.5元,然后张三把1.5元再存到银行里,到2024年1月1日取出来,下半年除了1元钱的利息0.5元外,还加上了上半年利息0.5元的利息,是多少呢?0.25元,这样到年底可以得到2.25元,这样的操作下来,比存一整年的利息要多出来0.25元。
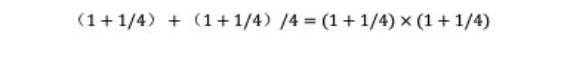
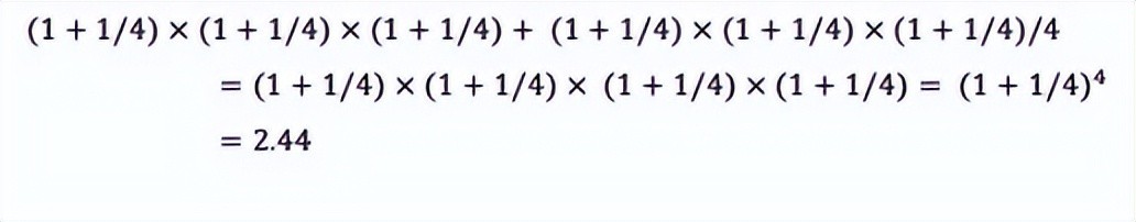
如果张三是个勤快的聪明人,他每个季度都取出来再存上,肯定要比2.25还要多,因为除了正常1元的利息,还有利息的利息。可以算一下:
4月1日第一次取款为1+1/4;
7月1日第二次取出会有:

10月1日第三次取款时

2024年1月1日第四次取款为

比半年取一次多将近0.2元。
如果张三足够勤快,银行也不怕麻烦,1个月取一次又存上,可以省略过程,会是(1+1/12)12= 2.61303529。
那么如果张三就是一个勤快的闲人,每天都去取了再存下,甚至每小时都取了再存,是不是会无限大?
不是的,张三会发现,钱数会趋向于一个稳定的数值,这个数就是e,大小为e=2.7182818284590…,公式表达就是如下:

等号后边的符号代表次数n趋向于无限大时的结果。
这个公式是按照上面张三的方法推导出来的。n=1对应1年存期;n=2对应半年取一次再存上;n=4对应一个季度取一次再存上;n的数值代表1年内存款的次数。当n趋向无限大时,就是张三想得到的最大值,这个数值就是e。
其实这个来源虽然解释起来简单,但是我并不喜欢,因为人为的痕迹太重,并不是我喜欢的方式。银行利率是人类活动的产物,量子力学和热力学中的e是大自然的本质存在的,不是人类可以控制的,不可能大自然也收利息吧。还要找更基本的原因。
下一篇文章将从第二个公式,寻找自然常数e到底是什么,怎么来的。

摘自分层学说,一种关于世界本质的假说
https://read.douban.com/column/68398709/